Pathophysiology Of Dengue Fever : Dengue Hemorrhagic Fever Nursing Care Management And Study Guide : Recovery generally takes two to seven days.

Pathophysiology Of Dengue Fever : Dengue Hemorrhagic Fever Nursing Care Management And Study Guide : Recovery generally takes two to seven days.. Dengue fever is a disease spread by the aedes aegypti mosquito and is caused by one of four dengue viruses. The initial phase of dhf is similar to that of dengue fever and other febrile viral illnesses. Dengue viruses infect a wide range of human and nonhuman cell types in vitro. Risk factors for severe dengue. Dengue is a highly endemic infectious disease of the tropical countries and is rapidly becoming a global burden.

National center for emerging and zoonotic infectious diseases. Dengue infection is caused by any of four dengue virus serotypes. In most cases, people who have dengue fever make full recoveries. The large majority of dhf/dss occurs as the result … The dengue viral replication cycle dengue viruses are members of the family flaviviridae genus flavivirus.

Dengue And Dengue Hemorrhagic Fever Dengue Shock Syndrome Pediatric Oncall Journal
Dengue And Dengue Hemorrhagic Fever Dengue Shock Syndrome Pediatric Oncall Journal from www.pediatriconcall.com
Besides fever, the disease is characterized by an extreme pain in and stiffness of the joints. National center for emerging and zoonotic infectious diseases. The severe form of dengue fever, also called dengue hemorrhagic fever, can cause serious bleeding, a sudden drop in blood pressure (shock) and death. Dengue fever is a disease spread by the aedes aegypti mosquito and is caused by one of four dengue viruses. Annually, 100 million cases of dengue fever and half a million cases of dhf occur worldwide. Once you are infected with one of the dengue viruses, you will develop immunity to that. Dengue infection is caused by any of four dengue virus serotypes. Who, searo, new delhi, 1993.

Symptoms typically begin three to fourteen days after infection.

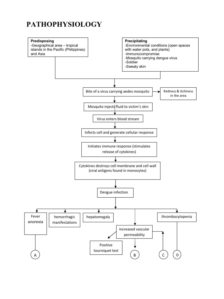
Plasma leakage and intrinsic coagulopathy are the pathological hall marks in dengue haemorrhagic fever (dhf). The means of transmission of dengue fever itself comes from the bite of aedes aegypti mosquitoes and aedes albopictus. The virus is deposited in the skin by the vector, within few days viremia occurs, lasting until the 5th day for the symptoms to show. The clinical manifestations range from asymptomatic infection to undifferentiated fever, dengue fever and dengue hemorrhagic fever (dhf). Here are the risk factors, causes, symptoms, diagnosis, adn phases of dengue fever A small percentage of persons who have previously been infected by one dengue serotype develop bleeding and endothelial leak upon infection with another dengue serotype. Dengue fever usually starts with a fever, joint pain, rash and nausea. Dengue fever is a viral infection with potentially fatal co. Bleeding, hemorrhage introduction dengue fever (df) is the. Centers for disease control and prevention. Dengue is a highly endemic infectious disease of the tropical countries and is rapidly becoming a global burden. These may include a high fever, headache, vomiting, muscle and joint pains, and a characteristic skin rash. The severe form of dengue fever, also called dengue hemorrhagic fever, can cause serious bleeding, a sudden drop in blood pressure (shock) and death.

Dengue virus after entering in the body invades the local macrophages and multiply there. In most cases, people who have dengue fever make full recoveries. In a small proportion of cases, the disease develops into a more severe dengue hemorrhagic fever. Dengue fever is an easily contagious disease. The large majority of dhf/dss occurs as the result …

Dengue Fever
Dengue Fever from www.southsudanmedicaljournal.com
Centers for disease control and prevention. The pathophysiology of dengue hemorrhagic fever include: It is caused by any of the 4 serotypes of dengue virus and is transmitted within humans through female aedes mosquitoes. Dengue viral infections are one of the most important mosquito borne diseases in the world. They may be asymptomatic or may give rise to undifferentiated fever, dengue fever, dengue haemorrhagic fever (dhf), or dengue shock syndrome. The large majority of dhf/dss occurs as the result … Dengue fever usually starts with a fever, joint pain, rash and nausea. Risk factors for severe dengue.

Infected local cells then migrate from site of infection to lymph nodes, where monocytes and macrophages are recruited, which become targets of infection.

Centers for disease control and prevention. Once you are infected with one of the dengue viruses, you will develop immunity to that. Annually, 100 million cases of dengue fever and half a million cases of dhf occur worldwide. Monograph on dengue / dengue hemorrhagic fever. Dengue fever occurs mostly in tropical regions worldwide. Dengue fever is a viral infection with potentially fatal co. The severe form of dengue fever, also called dengue hemorrhagic fever, can cause serious bleeding, a sudden drop in blood pressure (shock) and death. A small percentage of persons who have previously been infected by one dengue serotype develop bleeding and endothelial leak upon infection with another dengue serotype. Here are the risk factors, causes, symptoms, diagnosis, adn phases of dengue fever National center for emerging and zoonotic infectious diseases. Dhf or dengue fever is a disease caused by one of the four dengue viruses. It is caused by any of the 4 serotypes of dengue virus and is transmitted within humans through female aedes mosquitoes. Other members of the same genus include yellow fever virus, west nile virus, st.

Symptoms are similar to flu symptoms, and there is no treatment. Other members of the same genus include yellow fever virus, west nile virus, st. The severe form of dengue fever, also called dengue hemorrhagic fever, can cause serious bleeding, a sudden drop in blood pressure (shock) and death. Dengue fever is a disease spread by the aedes aegypti mosquito and is caused by one of four dengue viruses. Who, searo, new delhi, 1993.

Signs And Symptoms Of Dengue Fever Saypeople
Signs And Symptoms Of Dengue Fever Saypeople from i0.wp.com
infection with one dengue. Symptoms are similar to flu symptoms, and there is no treatment. National center for emerging and zoonotic infectious diseases. Annually, 100 million cases of dengue fever and half a million cases of dhf occur worldwide. Dengue fever & what you need to know, including pathophysiology, symptoms, diagnosis & treatment. Besides fever, the disease is characterized by an extreme pain in and stiffness of the joints. Rapid and weak pulse narrow pulse pressure less than 20mmhg or hypotension for age cold clammy skin and restlessness. The virus that causes dengue is transmitted by mosquitoes.

Monograph on dengue / dengue hemorrhagic fever.

Dengue viral infections are one of the most important mosquito borne diseases in the world. Pathophysiology and pathogenesis of dengue hemorrhagic fever. Monograph on dengue / dengue hemorrhagic fever. Who, searo, new delhi, 1993. Rapid and weak pulse narrow pulse pressure less than 20mmhg or hypotension for age cold clammy skin and restlessness. Dengue fever is a viral infection with potentially fatal co. Dengue fever is an infection that occurs after the bite of an infected mosquito. National center for emerging and zoonotic infectious diseases. Dengue virus after entering in the body invades the local macrophages and multiply there. Here are the risk factors, causes, symptoms, diagnosis, adn phases of dengue fever The initial phase of dhf is similar to that of dengue fever and other febrile viral illnesses. infection with one dengue. Fdengue igm and igg responses f role of ige in pathogenesis • total and dengue specific ige antibody levels are higher in dhf and dss patients compare to dd patients • total.

Related : Pathophysiology Of Dengue Fever : Dengue Hemorrhagic Fever Nursing Care Management And Study Guide : Recovery generally takes two to seven days..